2025, 45(5):855-868. DOI: 10.16450/j.cnki.issn.1004-6801.2025.05.001
摘要:准零刚度(quasi-zero stiffness,简称QZS)隔振通过引入刚度非线性,有效解决了传统线性隔振在承载能力与隔振带宽之间的固有矛盾,展现出优异的低频隔振性能。如何设计力学结构,使隔振器力-位移曲线同时具备高静刚度与低动刚度特征,是实现准零刚度隔振的核心问题。围绕准零刚度隔振设计方法,首先,阐述了准零刚度隔振的基本原理,并根据刚度非线性化的实现途径,将传统设计方法归纳为几何运动非线性法、几何变形非线性法、磁非线性法以及应力-应变非线性法;其次,介绍了基于非线性正刚度结构的新兴准零刚度设计方法,包括渐硬型与渐软型非线性正刚度结构,并与传统方法进行了对比分析,讨论了二者在静力学与动力学行为上的差异;最后,从负刚度结构设计、准零刚度特性调控以及应用场景等方面进行了总结与展望,全面梳理了准零刚度隔振设计方法的最新研究进展,为未来的发展方向提供参考。
2025, 45(5):869-876. DOI: 10.16450/j.cnki.issn.1004-6801.2025.05.002
摘要:为了研究叶片裂纹故障机理,分析叶片裂纹对转子系统三维叶尖间隙的影响,并综合考虑叶片的径向变形、摆振方向和弦长方向的弯曲变形,基于连续梁理论建立了转子系统动力学模型。首先,基于三维应力状态的叶片呼吸裂纹模型,进一步建立了含叶片裂纹的转子系统三维叶尖间隙动态响应模型;其次,通过与有限元模型和实验结果进行对比,验证了动力学模型的准确性;最后,分析了叶片裂纹深度和位置对转子系统三维叶尖间隙的影响。结果表明,转子系统三维叶尖间隙高倍频分量的幅值随着叶片裂纹深度的增加而增加,三维叶尖间隙基频分量和高倍频分量的幅值均随着叶片相对裂纹位置增大而呈现非单调的变化趋势。该研究结果对基于三维叶尖间隙的航空发动机叶片裂纹监测诊断方法研究具有理论指导作用。
赵啦啦,何德艺,王维楠,李赛,范国帅,刘初升,杨亚东,刘泽平
2025, 45(5):877-884. DOI: 10.16450/j.cnki.issn.1004-6801.2025.05.003
摘要:为进一步加强Hertz软球碰撞模型中刚性颗粒与弹塑性材料碰撞的相关研究,利用弹塑性半平面接触本构关系,引入一种新的阻尼形式,建立了硬球颗粒-聚氨酯平面的黏弹塑性碰撞模型,并推导出颗粒与弹塑性平面碰撞的非线性动力学方程。首先,通过测定球形煤精颗粒碰撞聚氨酯恢复系数实验,确定了所用聚氨酯材料的Meyer指数与动力学方程中的阻尼系数;其次,在方程中考虑不同的阻尼形式,对比证明了所提阻尼模型的正确性;然后,分析了不同阻尼系数下,不同阶段接触力的变化机理;最后,探讨了颗粒与弹塑性聚氨酯碰撞过程中位移、速度及接触力的变化规律。研究发现:随着初始碰撞速度的增加,聚氨酯不可恢复的塑性变形量由1.636×10-4 m增加至5.657×10-4 m,颗粒恢复系数由0.583 2降至0.501 2,碰撞时间由6.963×10-4 s降至4.737×10-4 s,塑性压缩阶段的占比由59.81%降至59.04%;所建立的模型可用于颗粒与较软平面碰撞的场景,为颗粒系统的输送、碰撞、冲击和分离提供了理论支撑。
2025, 45(5):885-892. DOI: 10.16450/j.cnki.issn.1004-6801.2025.05.004
摘要:针对螺杆转子铣削加工过程中的颤振问题,提出了一种基于RelifF算法优化最小二乘支持向量机(RelifF-least square support vector machine, 简称RF-LSSVM)的颤振监测方法。首先,使用变分模态分解(variational modal decomposition, 简称VMD)和RelifF算法对螺杆转子铣削过程中的振动信号进行分解、特征提取与选择;其次,利用增强鲸鱼算法(enhanced whale optimization algorithm, 简称E-WOA)对LSSVM的惩罚因子、核参数、RelifF算法近邻样本数和降维特征长度进行迭代寻优;最后,将降维后的颤振特征向量矩阵作为输入,以颤振发生状态为输出,建立颤振识别模型。实验结果表明,提出的VMD-RF-LSSVM模型与未优化的变分模态分解-支持向量机算法(variational modal decomposition-support vector machine, 简称VMD-SVM)模型相比,识别准确率更高,可以达到99.5%。提出的方法能够有效监测螺杆铣削过程中的颤振问题,为螺杆铣削加工过程的优化提供了一种思路。
2025, 45(5):893-899. DOI: 10.16450/j.cnki.issn.1004-6801.2025.05.005
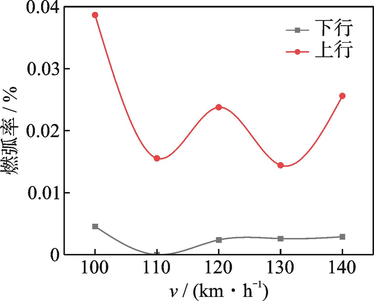
摘要:针对当前国内外磁浮列车靴轨系统检测指标较单一、缺少100~140 km/h速度范围检测数据等现状,提出了一个全面高速磁浮列车靴轨系统检测框架。首先,结合弓网和靴轨系统测试相关标准与规范,设计了包括靴轨接触力、振动加速度、受电靴电流、燃弧及靴轨横向几何参数的检测方法;其次,提出将视频监控、数据统计分析功能相结合的随车实时侧部靴轨监测系统,并开发了原始检测数据提取处理分析的配套程序;最后,以某中低速磁浮线为试验对象,对磁浮列车各速度等级测量的数据进行了分析。结果表明:磁浮列车上下运行弓网动态性能存在差异;膨胀接头处接触力、振动程度比中间段较大,靴轨动态性能较差;靴头振动主要来自垂向振动。相关研究揭示了磁浮列车靴轨系统在不同工况下的特性与问题,为磁浮列车靴轨系统的进一步优化提供了理论支持和实践依据。
2025, 45(5):900-906. DOI: 10.16450/j.cnki.issn.1004-6801.2025.05.006
摘要:针对管道内腐蚀损伤厚度难以定量诊断的问题,提出了一种采用超声导波的管道腐蚀损伤定量成像方法。首先,基于频域有限差分法,建立了管中多路径螺旋传播导波的数值模型,可以在已知厚度图时快速计算出导波接收信号;其次,计算空间内存在随机损伤时的接收信号,重复运行数值模型生成了包含3 500组样本的损伤信号数据库;然后,构建了一维卷积神经网络成像模型,使用生成的数据库训练模型,建立了厚度图和接收信号的映射关系,将接收信号输入成像模型以输出对应的厚度图;最后,通过实验验证了该方法的可行性。实验成像结果与真实值之间的均方差为8.604 8×10-4,相关性系数为0.711 6,成像模型运行时间为0.538 5 s,这表明该方法可以实现管道中腐蚀损伤的厚度定量成像,且成像效率较高。
2025, 45(5):907-914. DOI: 10.16450/j.cnki.issn.1004-6801.2025.05.007
摘要:为了分析高超声速飞行器的可靠性,将高超声速飞行器纵向模型等效为悬臂梁结构,并为其建立了极限状态函数。针对极限状态函数中变量参数的不确定性,提出了一种基于两阶段Kriging模型的混合可靠性分析方法。首先,第1阶段以满足一定精度的可能失效点为采样中心,选取初始样本点构建初始Kriging模型,使模型满足一定的精度;其次,第2阶段基于一次可靠度方法和初始Kriging模型对飞行器进行混合可靠性分析,该阶段结合学习函数对Kriging模型进行自适应更新,提高了可靠性计算的效率和精度;最后,在极限强度、悬臂梁高度和宽度的不同分布条件下,与已有的方法进行了对比。结果表明,所提方法能满足高超声速飞行器可靠性分析的实时性和精度要求。
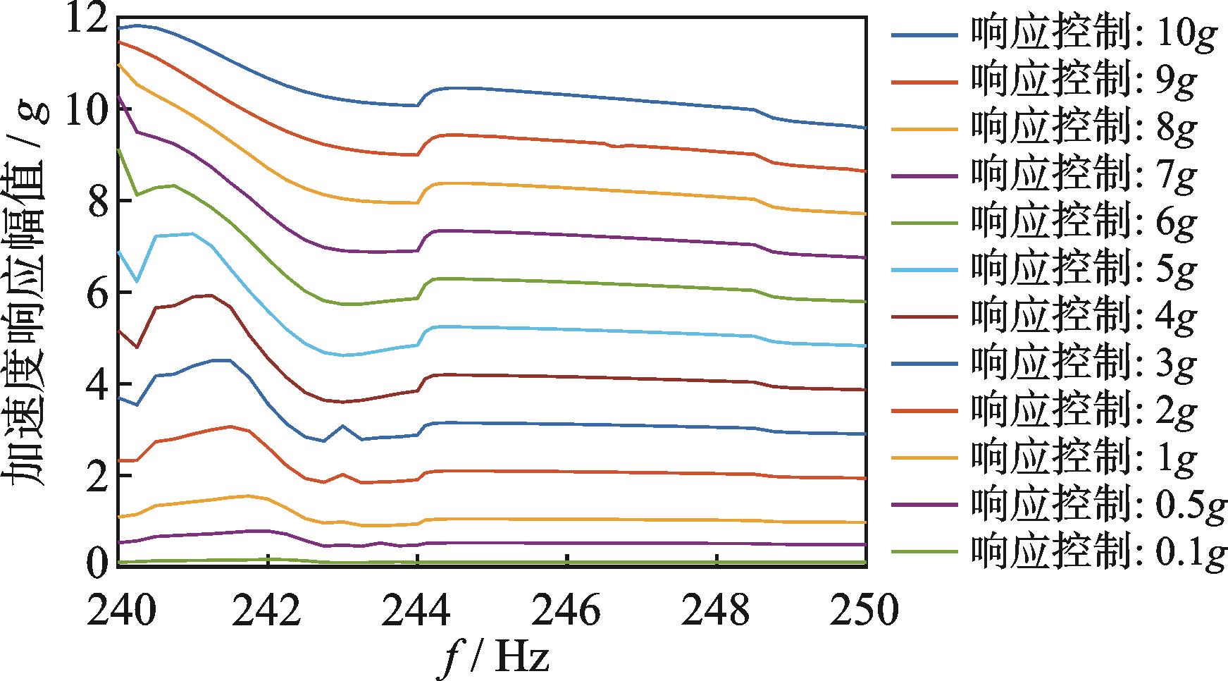
2025, 45(5):915-921. DOI: 10.16450/j.cnki.issn.1004-6801.2025.05.008
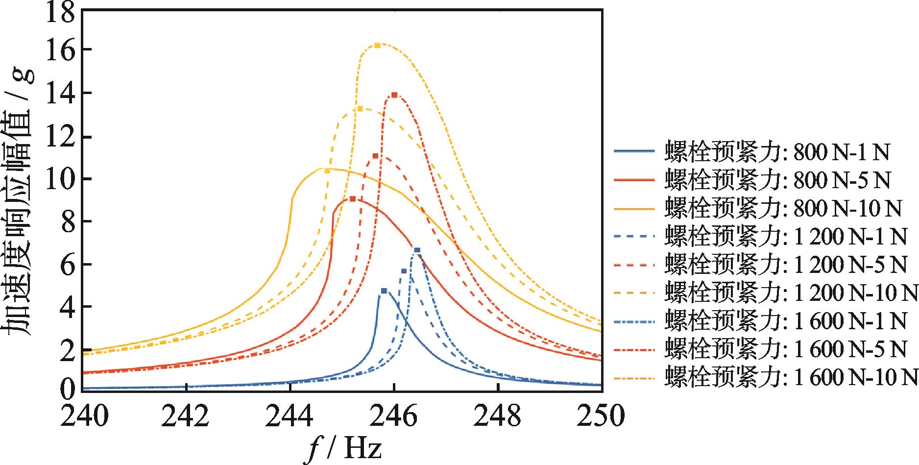
摘要:非线性结构在稳态激励下存在多重响应,采用传统振动实验方法很难直接获得非线性结构的动力学特性。针对此问题,提出了基于加速度响应控制步进正弦扫频实验技术的恒定力动力学特性测试方法。首先,选择激励点处的加速度响应作为控制信号,通过控制其响应幅度恒定进行步进正弦扫频实验;其次,根据不同加速度幅值工况实验获得简谐激励谱和简谐加速度响应谱曲线,并利用线性插值构造平滑的简谐力面;然后,通过从简谐力面中提取恒定力幅值的等值线,即为非线性结构恒定力幅值工况的频响曲线;最后,对典型螺栓连接非线性结构开展动力学特性研究。结果表明,采用本研究方法可以准确测试螺栓连接非线性结构的频响曲线,螺栓连接结构的动力学特性具有非线性的力依赖性,且螺栓预紧力大小和结构重装配对连接结构的动力学特性均有较明显的影响。
2025, 45(5):922-928. DOI: 10.16450/j.cnki.issn.1004-6801.2025.05.009
摘要:为监测分布式驱动电动汽车中轮毂电机运行状态,确保整车运行安全,提出一种基于改进的多类支持向量数据描述(multi-class support vector data description,简称MCSVDD)的轮毂电机故障诊断方法。首先,针对MCSVDD算法的改进,基于近邻传播(affinity propagation,简称AP)聚类算法提出了MCSVDD以“距离类内簇中心最小”的类别判断法则,并基于Weibull函数构造了Weibull核函数,用于优化数据描述模型;其次,针对轮毂电机运行状态的多维特征参数组,提出一种基于最小距离传播鉴别投影(minimum-distance propagation discriminant projection,简称MPDP)的降维法,提高了不同工况下轮毂电机故障状态的可分性;最后,定制带有典型轴承故障的轮毂电机,采集7种工况下的振动信号,验证所提出方法的有效性。结果表明:基于MPDP降维后的轮毂电机运行状态观测样本的可分性优于线性判别分析(linear discriminant analysis,简称LDA)、局部保持投影(locality preserving projection,简称LPP)及最小距离鉴别投影(minimum-distance discriminant projection,简称MDP)方法,基于Weibull核函数的MCSVDD状态识别系统的识别精度整体高于基于多项式和高斯核函数的MCSVDD系统。
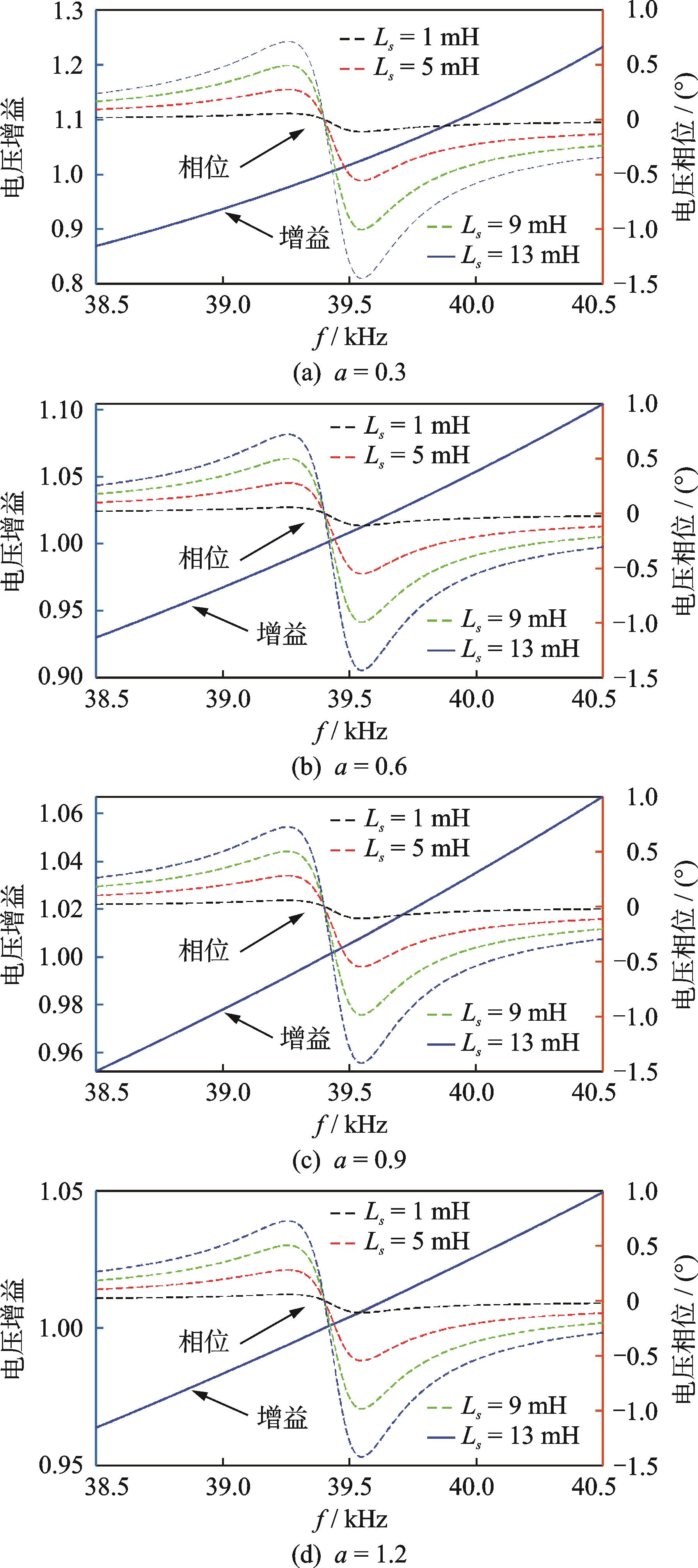
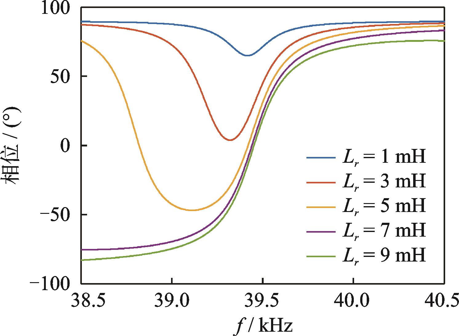
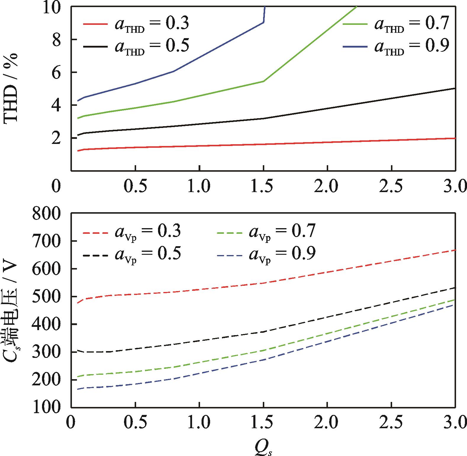
2025, 45(5):929-936. DOI: 10.16450/j.cnki.issn.1004-6801.2025.05.010
摘要:针对直线超声电机参数时变性以及驱动电压谐波影响其运行稳定性的问题,通过设计两电感-两电容(简称LLCC)谐振网络拓扑及优化其输出电压总谐波畸变率(total harmonic distortion, 简称THD)的方法,提升了电机运行稳定性。首先,采用考虑定/动子接触状态下的等效电路模型,推导出LLCC阻抗匹配的计算公式,引入补偿电容改善阻抗匹配的弹性裕度与稳定性;其次,探讨了谐振点附近的LLCC匹配电路滤波特性,推导出输出电压THD与LLCC谐振电路参数的数学关系,分析了变压器寄生参数对LLCC谐振电路的影响,并提出以正弦输出电压THD 值为主要指标的LLCC 谐振电路优化设计方法;最后,设计了V型直线超声电机的LLCC谐振驱动器。实验结果表明:谐振网络中串、并联电容的比值决定输出电压幅值增益水平、THD和串联电容两端电压峰值,且前两者相互制衡;并联电感值为软开关特性的主要决定因素;驱动电压THD值控制在3%以内,相比优化前提升了70%以上。
2025, 45(5):937-943. DOI: 10.16450/j.cnki.issn.1004-6801.2025.05.011
摘要:针对压气机故障诊断中机理不清晰的问题,为了揭示叶片磨损后压气机部件特性偏差的变化规律,通过数值仿真分析方法研究了叶片在不同磨损程度下的部件特性变化规律。结果表明:叶片表面磨损相比于叶尖磨损引起的压气机性能衰退程度更明显,且转速越高,性能衰退的程度越大;叶尖间隙增大导致的效率衰退值随着压比增大呈现出先减小后增大的规律,其中在压气机的工作线附近,效率的衰退值随压比变化较为稳定,而流量衰退值随压比的增大而增大;叶片表面粗糙度增大后效率和流量的衰退值都随压比的增大而增大,在接近失速的压比下衰退值有减小的趋势;在工作线附近,不同程度的叶片磨损对流量的影响大于对效率的影响。该结果可为航空发动机气路故障诊断方法的研究提供理论参考。
2025, 45(5):944-950. DOI: 10.16450/j.cnki.issn.1004-6801.2025.05.012
摘要:针对现有模型不适用于木棉纤维材料流阻率预测的问题,测试了不同体密度的木棉毡。首先,使用已有的预测模型计算了木棉毡的流阻率;其次,通过对测试值拟合,给出了适用于木棉毡流阻率预测的经验模型;最后,考虑不同体密度下木棉纤维的截面形状与排布,基于Tarnow模型和哈根-泊肃叶流动假设,通过推导微单元中的平均速度和摩擦力,给出了纤维圆形截面和扁平截面下木棉毡流阻率的分析模型,并使用压扁率对模型进行了修正。结果表明:与测试值对比,已有模型的木棉毡流阻率预测精度较低;修正模型适用于介于两种截面之间的过渡状态,修正后的模型在体密度20~180 kg/m3范围内具有较高的预测精度。
2025, 45(5):951-960. DOI: 10.16450/j.cnki.issn.1004-6801.2025.05.013
摘要:为了研究地铁车轮多边形对车体低频振动的影响,首先,调研了某地铁线路车轮多边形磨耗情况,在掌握地铁线路车轮多边形分布特征的基础之上,建立了考虑车轮多边形的弹性车体垂向动力学模型;其次,基于时域积分求解方法,研究了车轮多边形激励频率与车体低频振动的关系;最后,通过对比不同阶次的车轮多边形对车体低频振动的结果,讨论了服役条件下地铁车辆运行速度及车轮磨耗半径的变化对车轮多边形作用车体的影响规律。结果表明:1~3阶次的车轮多边形产生0~20 Hz的低频激励频率,当激励频率接近于车体1阶垂弯频率10.2 Hz时会产生共振,致使车体加速度响应增大;服役初期2阶车轮多边形对车体低频振动影响最大;随着服役过程中车轮半径的磨损,前3阶车轮多边形影响车体振动规律均发生改变。
2025, 45(5):961-968. DOI: 10.16450/j.cnki.issn.1004-6801.2025.05.014
摘要:行星齿轮箱出现早期故障时,由于工业环境的背景噪声干扰和故障冲击在复杂传递路径中衰减,其微弱故障特征难以有效提取和识别。针对此问题,提出了稀疏引导的改进经验小波变换(improved empirical wavelet transform,简称IEWT)结合多点最优最小熵解卷积(multipoint optimal minimum entropy deconvolution adjusted,简称MOMEDA)的微弱故障特征提取方法。首先,提出了一种新的故障综合指标(fault composite index,简称FCI),结合信号频谱的幅值包络线将原始信号自适应分解为一组IEWT分量;其次,通过稀疏引导方法选出敏感分量作为原始微弱故障信号的稀疏表示;最后,对敏感分量信号进行MOMEDA处理,降低信号噪声并提取微弱信号故障特征频率用于检测。仿真和实验结果表明,所提方法对含有噪声的非平稳非线性行星齿轮箱故障信号有良好的诊断效果,验证了该方法的有效性,为工程实践中行星齿轮箱弱故障的诊断和检测提供了一种方法。
2025, 45(5):969-975. DOI: 10.16450/j.cnki.issn.1004-6801.2025.05.015
摘要:为了抑制波轮洗衣机脱水启动阶段的剧烈瞬态振动,提出了一种新型平面变阻尼结构。首先,推导了波轮洗衣机各类刚体的动能、势能和悬挂系统的广义力,分析了液体平衡环作用力,并运用拉格朗日方程建立了波轮洗衣机整机振动模型;其次,阐述了平面变阻尼结构的原理及其广义力,验证了其对波轮洗衣机瞬态振动的抑制作用;然后,为评估平面阻尼结构对波轮洗衣机固有特性的改变,运用分岔理论分析了其对系统稳定性的影响,得到了系统参数稳定区分布情况以及平面变阻尼结构合适的转速脱离区间;最后,搭建了实验样机平台,验证了瞬态减振效果,并确定了脱离转速。结果表明,平面变阻尼结构可显著抑制波轮洗衣机瞬态振动,且对整机其他动态特性的影响很小。
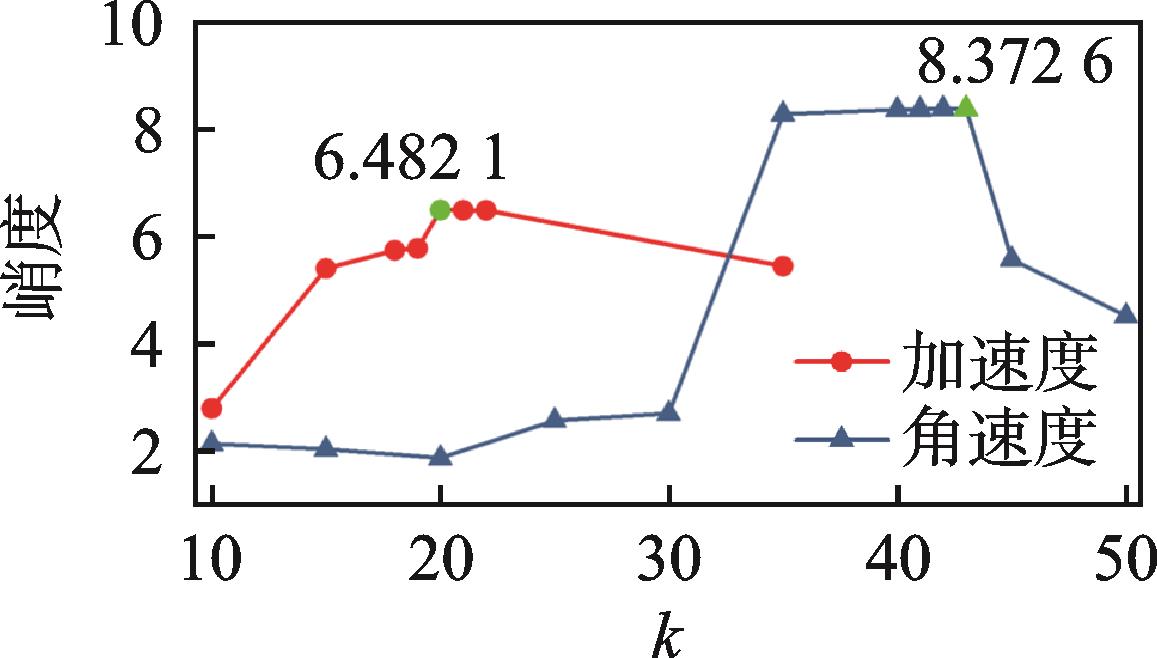
2025, 45(5):976-984. DOI: 10.16450/j.cnki.issn.1004-6801.2025.05.016
摘要:针对煤矿锚杆钻车姿态估计中惯性导航的多源噪声,提出一种基于噪声敏感先验的改进变分模态分解(variational mode decomposition,简称VMD)惯导异构信号降噪方法。首先,利用加速度和角速度时频域参数特性变化,探究捷联惯导异构信号的噪声敏感差异和多源噪声作用规律;其次,根据异构信号噪声敏感先验和最大峭度变化趋势,构建双分解层,并通过能量波动模型监测在不同分解层下模态分量的能量变化,避免参数固定造成的过分解和欠分解问题,实现对惯导异构信号同步VMD分解;然后,根据皮尔逊相关系数(Pearson correlation coefficient,简称PCC)拟合兼顾噪声敏感差异的模态筛选参数——联合相关系数P,筛选有效模态分量,实现惯导异构信号同步降噪;最后,将所提方法与惯性信号降噪基准方法,即互补集合经验模态分解(complementary ensemble empirical mode decomposition,简称CEEMD)和改进的自适应噪声完备集合经验模态分解(improved complete ensemble empirical mode decomposition with adaptive noise,简称 ICEEMDAN)进行降噪结果对比。结果表明:所提方法兼顾异构信号噪声敏感差异,实现了异构信号同步分解与重构,提升了惯性测量信噪比,改善了矿用锚杆钻车姿态初始化精度,俯仰角误差减少81.818%,航向角误差减少87.958%,消除了横滚角误差,为精准支护奠定了良好基础。
2025, 45(5):985-990. DOI: 10.16450/j.cnki.issn.1004-6801.2025.05.017
摘要:针对传统检测方法难以简便地检测并评估接地导线的腐蚀程度问题,提出一种基于机电阻抗技术的接地导体腐蚀程度的评估方法。首先,应用金属电化学腐蚀理论,建立接地导体的半径参数化腐蚀模型;其次,通过对系统机电阻抗以及导体机械导纳的分析,建立一种共振频率与半径参数的腐蚀模型;然后,利用有限元仿真方法激励获取接地导体共振频率与腐蚀参数信号,并采用最小二乘线性拟合获得腐蚀模型参数;最后,进行了仿真与实验。结果表明:相较于对称传感器布置方式,非对称传感器布置方式下得到的机电阻抗能够更好地反映出腐蚀参数的变化;利用有限元仿真与最小二乘法建立的线性模型能够有效预测接地导体的腐蚀参数;线性模型预测数据非常接近实验数据,表明可以利用线性模型来预测实际接地导体的腐蚀程度。
2025, 45(5):991-1000. DOI: 10.16450/j.cnki.issn.1004-6801.2025.05.018
摘要:为了研究在流固耦合效应下不同来流对超高层建筑风效应特性的影响,采用分离涡方法(detached eddy simulation,简称DES)对深圳平安金融大厦气弹模型进行全尺寸数值风洞模拟,利用湍流脉动生成(discretizing and synthesizing random flow field generation,简称 DSRFG)方法模拟大气边界层湍流和均匀来流,得到模型的风压和风致响应结果,并与风洞试验和现场实测数据进行对比。研究结果表明:分离涡模拟得到的湍流来流下建筑风压与风洞试验和现场实测结果分布趋势一致;2种工况下建筑平均风压系数分布相似,湍流来流下迎风面脉动风压系数大于均匀来流;横风向加速度响应湍流来流大于均匀来流,均匀来流下加速度响应功率谱表现出三峰,位移响应功率谱表现出双峰,湍流来流下表现出单峰;在流场方面,均匀来流风速较湍流来流更加均匀,尾流涡旋更加扁平狭长,整体涡量较小。
2025, 45(5):1001-1007. DOI: 10.16450/j.cnki.issn.1004-6801.2025.05.019
摘要:为了提高小样本图像条件下列车轮对轴承故障检测水平,提出了一种基于多分辨率孪生神经网络(multi-resolution siamese neural network, 简称MrSNN)模型的列车轮对轴承表面缺陷机器视觉检测方法。首先,采用孪生神经网络(siamese neural network, 简称SNN)为基础模型框架,构建了包含不同卷积核尺寸及不同膨胀因子大小的多分辨率卷积融合模块(multi-resolution convolution fusion block, 简称MrCFB)来综合提取图像中的细节特征与轮廓特征信息;其次,采用通道和空间的双重注意力机制重新标定多分辨率特征权重,进一步增强模型的图像特征提取能力;最后,通过对轮对轴承正常、划伤、凹痕及剥落4类图像进行检测分析,完成了算法验证。实验结果表明,轮对轴承3类故障图像识别率为100%,正常图像识别率为95%,总体识别准确率为98.75%,识别准确率优于传统SNN和YOLO-V5等网络模型。
2025, 45(5):1008-1012. DOI: 10.16450/j.cnki.issn.1004-6801.2025.05.020
摘要:为了研究大载荷循环作用下焊接结构的疲劳强度,采用数字图像相关(digital image correlation,简称DIC)和红外热成像(infrared thermography,简称IR)同步耦合测试方法,同时获取结构表面的全场应变和温度信息,解释了结构损伤的演变过程。首先,通过45#钢试样的拉伸试验,获得了45#钢拉伸过程中试样表面的温度和应变变化规律;其次,损伤过程各阶段中温度特征与材料载荷时间曲线吻合程度较好,反映了45#钢损伤状态的不同历程;最后,开展了发动机GH4061焊接结构超低周循环疲劳试验,捕捉了焊接结构在循环载荷作用下裂纹的萌生、发展和断裂的全过程,并进行了全场应变和温度的同步测试分析。试验结果验证了该方法在焊接结构疲劳损伤监测中的可行性与有效性。
2025, 45(5):1013-1018. DOI: 10.16450/j.cnki.issn.1004-6801.2025.05.021
摘要:针对叶尖间隙测量,建立了多截面叶尖间隙测量与验证模拟转子试验台,开发了多通道叶尖间隙在线测量软件。首先,基于激光三角法通过定制的双光纤传感器进行叶尖间隙测量;其次,利用高精度位移平台改变叶尖间隙值,在不同转速下测出精准的叶尖间隙值;最后,针对双光纤传感器测量叶尖间隙的采集卡触发阈值电压问题,设计了多通道一体化电压比较器,消除了双光纤传感器两通道同时测量所带来的10-5 s量级的时间差异。结果表明:该方法基于叶尖定时原理,仅测量叶尖到达时刻即可计算出叶尖间隙;各组间隙平均值误差在5%以内,且各组叶尖间隙测量值的标准差均小于22 μm,证明了叶尖间隙测量系统的准确性与可重复性。
2025, 45(5):1019-1027. DOI: 10.16450/j.cnki.issn.1004-6801.2025.05.022
摘要:为了研究大跨屋盖表面风压非高斯特性及极值风压分布,对某高铁站房屋盖进行了风洞测压试验。首先,对表面风压进行高斯分布和非高斯分布的划分;其次,对比3种不同单一概率分布(Gumbel、Lognormal和Weibull)及其对应的组合分布(双Gumbel、双Lognormal和双Weibull)对屋盖表面风压时程的拟合效果,并比较了组合概率分布获取的极值风压与修正Hermite法的估计结果;最后,给出全风向角下屋盖极值风压分布。结果表明:组合概率分布对风压时程的拟合效果优于单一分布,组合分布在同一保证率下的极值估计结果好于单一分布;组合分布在99.90%保证率下的估计效果总体上优于修正Hermite法;极值风压随风向角变化显著,在全风向角下极小值风压系数在屋盖边缘侧中部最小,可达到-5.9。
2025, 45(5):1028-1036. DOI: 10.16450/j.cnki.issn.1004-6801.2025.05.023
摘要:为研究数据驱动的地铁钢轨波磨状态演变规律,针对地铁钢轨波磨的快速检测问题,提出了一种时空密集型的地铁钢轨波磨快速测量方式。首先,采用高精度传感器检测列车编组车体振动,收集车体三向振动加速度数据;其次,融合不同车体三向振动加速度估计车速和里程位置;然后,采用小波包分解车体垂向振动加速度,定义振动能量比指标,即钢轨波磨波长激发的车体振动特征频带能量与振动总能量的比值,确定振动能量比阈值自动识别钢轨波磨,并输出里程信息;最后,通过车速与特征频率的比值得到钢轨波磨波长信息,并分析振动能量比和钢轨波磨幅值的映射关系。结果表明:振动能量比阈值取为0.2时识别的钢轨波磨里程分布与车厢噪声识别结果一致,计算的钢轨波磨波长与波磨仪实测波长均为175 mm;统计聚类发现钢轨波磨幅值与振动能量比不是单一线性映射关系;基于振动能量比快速检测全线钢轨波磨分布,发现无波磨区段占比为76.56%,波磨区段占比为23.44%,其中钢轨波磨波长以60 mm以下为主,占比为77.88%,波长60 mm以上的波磨占比为22.12%。
2025, 45(5):1037-1041. DOI: 10.16450/j.cnki.issn.1004-6801.2025.05.024
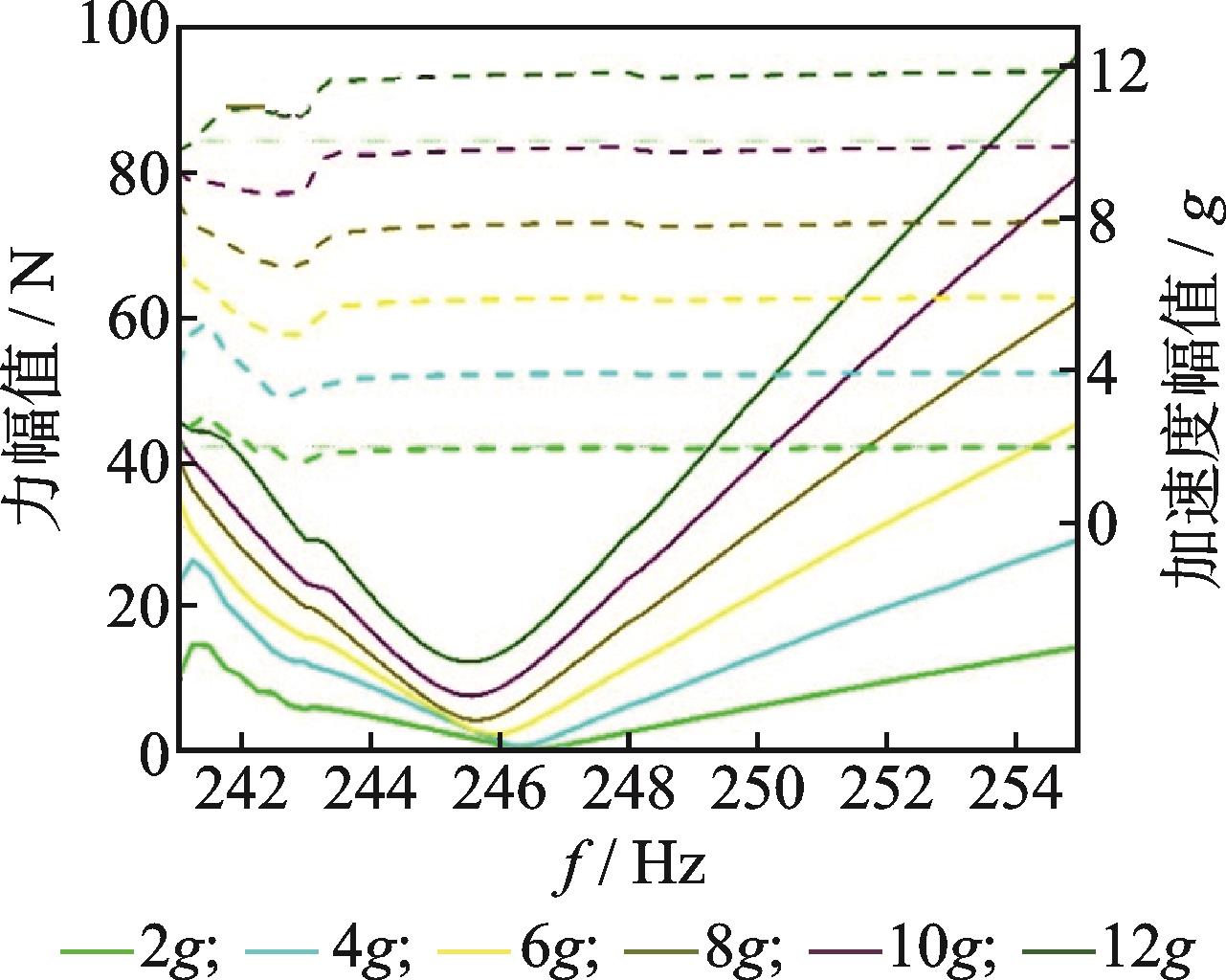
摘要:针对介电弹性体驱动器非线性动态特性难以准确捕捉的问题,提出了一种介电弹性体驱动器参数辨识方法。首先,基于瞬态提取变换 (transient-extracting transform,简称TET) 的时频变换方法,利用扫频激励获得驱动器响应信号;其次,通过分离提取其中谐波分量与基频分量,分别计算不同分量的传递函数,从而获得介电弹性体驱动器的传递函数;最后,与实验数据进行了对比。结果表明,基频传递函数的拟合准确度为92.11%,二次谐波传递函数的拟合准确度为90.35%。所提方法无需考虑材料特性或自由能密度函数,且考虑了系统高次谐波分量的影响,为电活性材料结构的参数辨识提供新的思路。
2025, 45(5):1042-1048. DOI: 10.16450/j.cnki.issn.1004-6801.2025.05.025
摘要:针对应答器周围存在大量金属物影响其电磁传输性能的问题,在电磁场仿真软件中建立应答器天线模型,从金属面面积、金属面到应答器垂直距离及金属面厚度3个方面进行仿真实验,得到不同参数下应答器上行链路信号幅度曲线,计算应答器传输性能指标值并分析其传输性能所受的影响。研究表明:金属面面积越大,应答器传输模块(balise transmission module, 简称BTM)接收安全报文帧数等性能指标越小,且减小程度越明显,来自旁瓣区的干扰越大,当金属面积大于320 mm×320 mm时,不能满足应答器上行链路场强一致性要求;金属面到应答器距离绝对值越大,来自旁瓣区干扰越小,其值大于123 mm时才能满足场强一致性要求; 金属面厚度越大,来自旁瓣区干扰越大,其厚度不应超过1 mm。
2025, 45(5):1049-1056. DOI: 10.16450/j.cnki.issn.1004-6801.2025.05.026
摘要:高速列车制动闸片的摩擦块有开孔和不开孔两种形式,为研究摩擦块开孔结构对高速列车制动特性的影响,在自行研制的高速列车制动缩比试验台上,对有孔结构和无孔结构的摩擦块进行制动拖曳试验,并采用有限元方法对试验过程的振动噪声及界面热分布进行数值模拟。试验及数值分析结果表明:无孔摩擦块的制动系统会产生连续自激振动并激发出高强度尖叫噪声,而有孔摩擦块在一定程度上抑制了系统的不稳定振动和尖叫噪声的产生;相比于无孔摩擦块,有孔摩擦块可以改善界面热分布,其表面及与其配副的制动盘表面的温度都更为均匀。








